• ACCUEIL
  • À PROPOS DE L'ÉCOLE
    • À PROPOS
    • ADMINISTRATION
  • L'ENSEIGNEMENT
    • LES DISCIPLINES INSTRUMENTALES ET LE CHANT
    • LES CHORALES ET ENSEMBLES
    • LA DANSE
    • L'ÉQUIPE PÉDAGOGIQUE
    • LES CURSUS
  • INSCRIPTIONS ET TARIFS
  • CONTACT

ASSEMBLÉE GÉNÉRALE du 20 janvier 2026

CONVOCATION À L'ASSEMBLÉE GÉNÉRALE DU 20/01/26

AGE à 19h45 (modification des statuts) - AGO à 20h30

Cliquez sur l'image pour télécharger le document

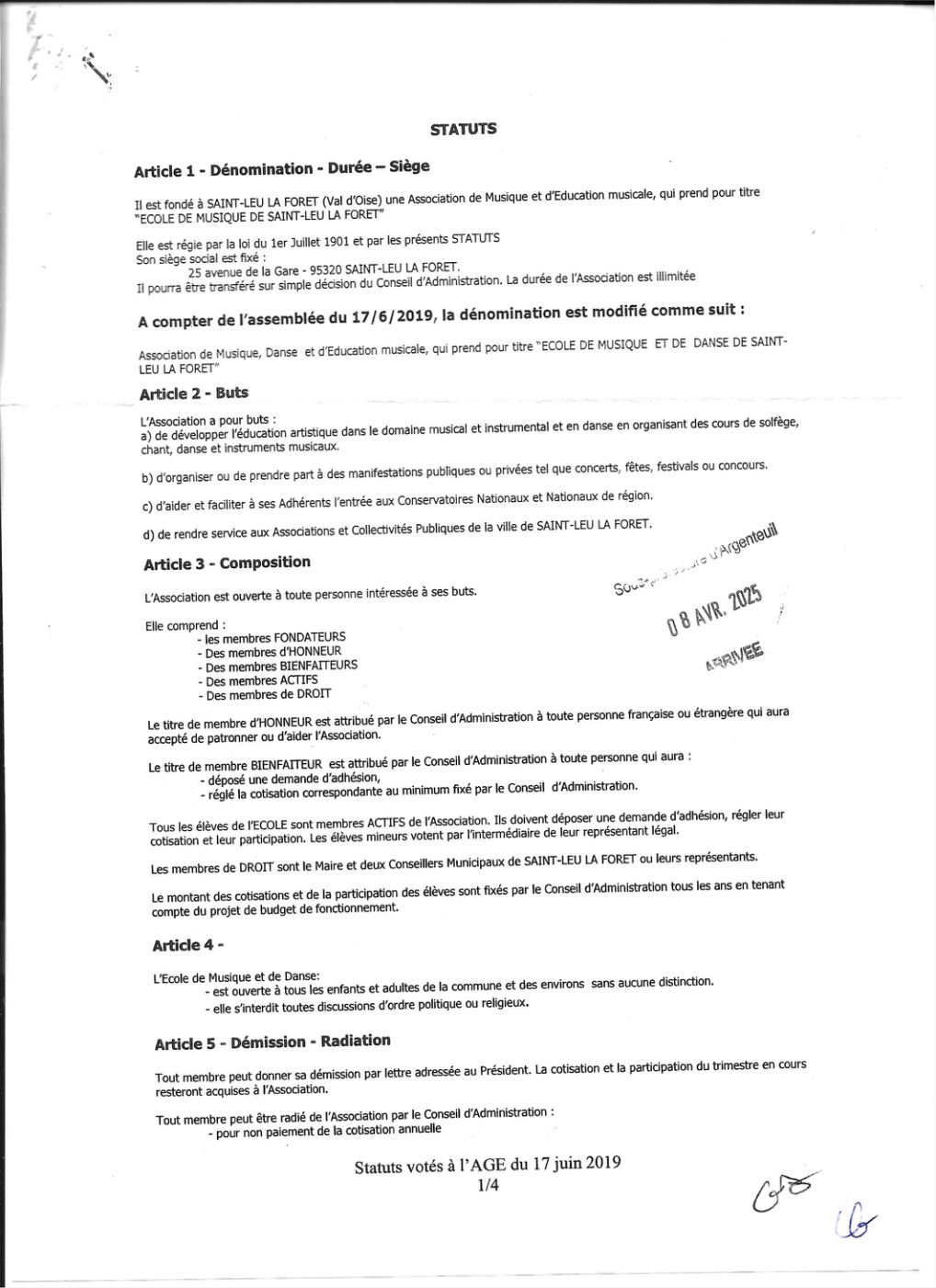
STATUTS ACTUELS DE L'EMD
Signés par le bureau le 04/02/25

Cliquez sur l'image pour télécharger le document

PROPOSITION DES NOUVEAUX STATUTS

Cliquez sur l'image pour télécharger le document

RAPPORT MORAL DE L'ANNÉE 2024/2025

Cliquez sur l'image pour télécharger le document

RAPPORT D'ACTIVITÉS
2024/2025

Cliquez sur l'image pour télécharger le document

PROJET D'ACTIVITÉS
2025/2026

Cliquez sur l'image pour télécharger le document

RAPPORT FINANCIER 2024/2025

Cliquez sur l'image pour télécharger le document

RAPPORT de la COMMISSAIRE AUX COMPTES ANNUELS 2024/2025 signé

Cliquez sur l'image pour télécharger le document

RAPPORT SPÉCIAL COMMISSAIRE AUX COMPTES

Cliquez sur l'image pour télécharger le document

RAPPORT de la COMMISSAIRE AUX COMPTES (CR de mission)

Cliquez sur l'image pour télécharger le document

PV DERNIÈRE AG DU 04/02/25

Cliquez sur l'image pour télécharger le document


MENTIONS LÉGALES
PLAN DU SITE

Site conçu, réalisé et entretenu par CherryGraphy - ©2022